Precision Hexapod; DC gear motor; rotary encoder; 25 kg payload; 2.5 mm/s maximum velocity; vacuum compatible to 10-6 hPa; cable set 2 m vacuum side; feedthrough. Air side connecting cables are not included in the scope of delivery and must be ordered separately.
H-850.V Vacuum Compatible Hexapod
For loads to 80 kg
- Vacuum to 10-6 hPa
- Repeatability to ±0.2 µm
- Travel range ±50 mm / ±50 mm / ±25 mm
- Rotation range ±15° / ±15° / ±30°
The hexapods suitable for vacuum of the H-850 series position loads of up to 80 kg with high precision and reliability. Heavy-duty precision bearings allow applications with long duty cycles. The H-850.V are suitable for vacuum environments to 10-6 hPa.
The parallel-kinematic design for 6 degrees of freedom makes it significantly more compact and stiffer than comparable serial kinematic systems. The advantages over serial, i.e., stacked systems, are mainly the much better path accuracy and repeatability. In addition, the moved mass is lower and allows improved dynamics which is the same for all motion axes. Cable management is not a problem because cables are not moved.
PIVirtualMove
The simulation software simulates the limits of the workspace and payload of a hexapod. Therefore, even before purchasing, you can check whether a particular hexapod model can handle the loads, forces, and torques occurring in an application. For this purpose, the simulation tool takes the position and motion of the hexapod as well as the pivot point and several reference coordinate systems into account.
Application fields
Industry and research. For astronomy, optics positioning, aerospace.
Specifications
Specifications
| Motion | H-850.G2V | H-850.H2V | Tolerance |
|---|---|---|---|
| Active axes | X ǀ Y ǀ Z ǀ θX ǀ θY ǀ θZ | X ǀ Y ǀ Z ǀ θX ǀ θY ǀ θZ | |
| Travel range in X | ± 50 mm | ± 50 mm | |
| Travel range in Y | ± 50 mm | ± 50 mm | |
| Travel range in Z | ± 25 mm | ± 25 mm | |
| Rotation range in θX | ± 15 ° | ± 15 ° | |
| Rotation range in θY | ± 15 ° | ± 15 ° | |
| Rotation range in θZ | ± 30 ° | ± 30 ° | |
| Maximum velocity in X | 2.5 mm/s | 0.15 mm/s | |
| Recommended velocity in X | 2 mm/s | 0.1 mm/s | |
| Maximum velocity in Y | 2.5 mm/s | 0.15 mm/s | |
| Recommended velocity in Y | 2 mm/s | 0.1 mm/s | |
| Maximum velocity in Z | 2.5 mm/s | 0.15 mm/s | |
| Recommended velocity in Z | 2 mm/s | 0.1 mm/s | |
| Maximum angular velocity in θX | 30 mrad/s | 1.8 mrad/s | |
| Recommended angular velocity in θX | 25 mrad/s | 1.2 mrad/s | |
| Maximum angular velocity in θY | 30 mrad/s | 1.8 mrad/s | |
| Recommended angular velocity in θY | 25 mrad/s | 1.2 mrad/s | |
| Maximum angular velocity in θZ | 30 mrad/s | 1.8 mrad/s | |
| Recommended angular velocity in θZ | 25 mrad/s | 1.2 mrad/s | |
| Positioning | H-850.G2V | H-850.H2V | Tolerance |
| Minimum incremental motion in X | 1 µm | 0.3 µm | typ. |
| Minimum incremental motion in Y | 1 µm | 0.3 µm | typ. |
| Minimum incremental motion in Z | 0.5 µm | 0.2 µm | typ. |
| Minimum incremental motion in θX | 7.5 µrad | 3 µrad | typ. |
| Minimum incremental motion in θY | 7.5 µrad | 3 µrad | typ. |
| Minimum incremental motion in θZ | 15 µrad | 5 µrad | typ. |
| Unidirectional repeatability in X | ± 0.5 µm | ± 0.5 µm | typ. |
| Unidirectional repeatability in Y | ± 0.5 µm | ± 0.5 µm | typ. |
| Unidirectional repeatability in Z | ± 0.2 µm | ± 0.2 µm | typ. |
| Unidirectional repeatability in θX | ± 3 µrad | ± 3 µrad | typ. |
| Unidirectional repeatability in θY | ± 3 µrad | ± 3 µrad | typ. |
| Unidirectional repeatability in θZ | ± 7.5 µrad | ± 9 µrad | typ. |
| Backlash in X | 8 µm | 8 µm | typ. |
| Backlash in Y | 8 µm | 8 µm | typ. |
| Backlash in Z | 1.5 µm | 1 µm | typ. |
| Backlash in θX | 25 µrad | 7.5 µrad | typ. |
| Backlash in θY | 25 µrad | 7.5 µrad | typ. |
| Backlash in θZ | 90 µrad | 60 µrad | typ. |
| Integrated sensor | Incremental rotary encoder | Incremental rotary encoder | |
| Drive Properties | H-850.G2V | H-850.H2V | Tolerance |
| Drive type | DC gear motor with ActiveDrive | DC gear motor with ActiveDrive | |
| Nominal voltage | 24 V | 24 V | |
| Mechanical Properties | H-850.G2V | H-850.H2V | Tolerance |
| Stiffness in X | 7 N/µm | 7 N/µm | |
| Stiffness in Y | 7 N/µm | 7 N/µm | |
| Stiffness in Z | 100 N/µm | 100 N/µm | |
| Maximum load capacity, base plate horizontal | 25 kg | 80 kg | |
| Maximum load capacity, base plate in any orientation | 10 kg | 40 kg | |
| Maximum holding force, base plate horizontal | 250 N | 2000 N | |
| Maximum holding force, base plate in any orientation | 85 N | 500 N | |
| Drive screw type | Ball screw | Ball screw | |
| Overall mass | 17 kg | 17 kg | |
| Material | Aluminum | Aluminum | |
| Miscellaneous | H-850.G2V | H-850.H2V | Tolerance |
| Operating temperature range | -10 to 50 °C | -10 to 50 °C | |
| Vacuum class | 10⁻⁶ ǀ hPa | 10⁻⁶ ǀ hPa | |
| Maximum bakeout temperature | 80 °C | 80 °C | |
| Connector for data transmission | HD D-sub 78 (m) | HD D-sub 78 (m) | |
| Connector for supply voltage | M12 4-pole (m) | M12 4-pole (m) | |
| Cable length | 2 m | 2 m | |
| Recommended controllers/drivers | C-887.5xx | C-887.5xx |
Air-side connecting cables are not included in the scope of delivery and must be ordered separately.
With continuous operation in a vacuum, heat generation may necessitate limiting the operating parameters.
When measuring position specifications, typical velocity is used. The data is included in the delivery of the product in the form of a measurement report and is stored at PI.
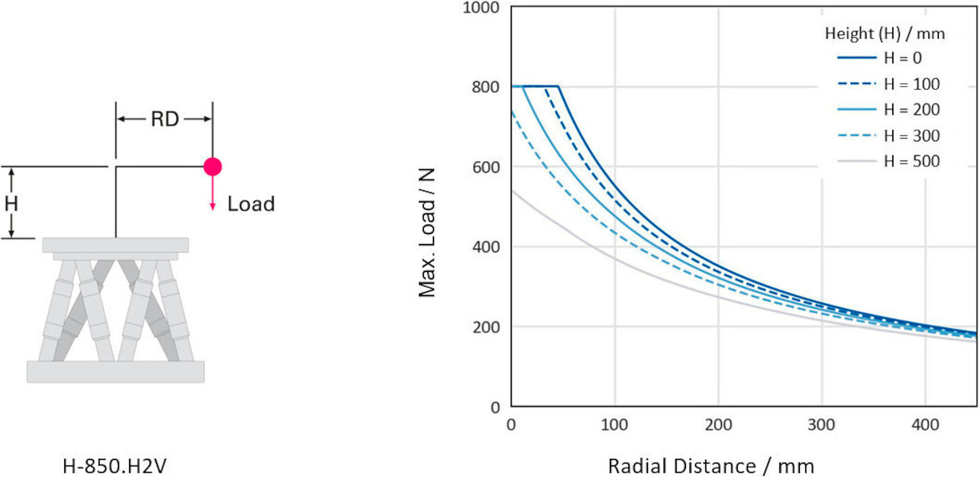
The maximum travel ranges of the individual coordinates (X, Y, Z, θX, θY, θZ) are interdependent. The data for each axis shows its maximum travel range when all other axes are in the zero position of the nominal travel range and the default coordinate system is in use, or rather when the pivot point is set to 0,0,0.
At PI, technical data is specified at 22 ±3 °C. Unless otherwise stated, the values are for unloaded conditions. Some properties are interdependent. The designation "typ." indicates a statistical average for a property; it does not indicate a guaranteed value for every product supplied. During the final inspection of a product, only selected properties are analyzed, not all. Please note that some product characteristics may deteriorate with increasing operating time.
Downloads
Product Note
Datasheet
Documentation
User Manual MS202
H-850 Hexapod Microrobot with Excellent Position Repeatability
Technical Note H850T0001
Technical note for unpacking the hexapod
3D Models
H-850.x2V 3-D model
Software Files
PIVirtualMove
Ask for a free quote on quantities required, prices, and lead times or describe your desired modification.
Precision Hexapod; DC gear motor; rotary encoder; 80 kg payload; 0.15 mm/s maximum velocity; vacuum compatible to 10-6 hPa; cable set 2 m vacuum side; feedthrough. Air side connecting cables are not included in the scope of delivery and must be ordered separately.
How to Get a Quote

Questions? - Ask a PI Engineer
Technology

EtherCAT Connectivity of PI Products
PI offers high-precision drives for use as EtherCAT slave, or integrates with ACS Motion Controllers as Master, or 2nd Master in an existing architecture.

Vacuum
Careful handling, adequate premises: PI does not only have the necessary equipment for the qualification of materials, components and final products, but also has many years of experience with regard to HV und UHV positioning systems.

Hexapods and SpaceFAB
Hexapods are systems for moving and positioning loads in six degrees of freedom, in three translational and three rotational axes.
Applications

Multi-Axis Beam Preparation

Sample Adjustment
At Diamond Light Source, UK, beamline I07 is a high-resolution X-ray diffraction beamline dedicated to investigate the structure of surfaces and interfaces.

Vacuum Chamber
Positioning the Vacuum Chamber for X-ray Diffraction Experiment

Sample Positioning in High-Vacuum
Sample Manipulators in High-Vacuum

Optics Hutch Instrumentation
At DESY in Hamburg, the P05 Imaging Beamline is operated by the HZG.






















